合作客戶/
拜耳公司 |
同濟大學 |
聯合大學 |
美國保潔 |
美國強生 |
瑞士羅氏 |
相關新聞Info
推薦新聞Info
-
> 納米熔鹽形成機理、表面張力測定及影響因素研究(三)
> 納米熔鹽形成機理、表面張力測定及影響因素研究(二)
> 納米熔鹽形成機理、表面張力測定及影響因素研究(一)
> ?《Nature》論文致謝欄常客:超微量天平的生物膜研究顛覆性應用
> Na2CO3溶液與模擬油反應不同時間后產物的界面張力、剪切黏度(二)
> Na2CO3溶液與模擬油反應不同時間后產物的界面張力、剪切黏度(一)
> 耐擦刮無膠消光膜制備方法、高表面張力與收解卷順暢性的平衡(二)
> 耐擦刮無膠消光膜制備方法、高表面張力與收解卷順暢性的平衡(一)
> 利用超微量天平制備微孔淀粉處理含Cu(II)離子染料廢水
> 不同類型的堿、pH值對孤東油田原油界面張力的影響(下)
不同濃度下白糖、紅糖溶液的表面張力系數變化
來源:山西大同大學學報(自然科學版) 瀏覽 2616 次 發布時間:2023-06-27
液體表面總是處于一種繃緊的狀態,這是由于液面各部分之間存在著相互拉緊的力,這種力就是表面張力,表征表面張力的一個重要參數是表面張力系數,它的大小由液體的種類及溫度決定,不同溶質的溶液其表面張力系數亦不盡相同。測定液體的表面張力系數也是大學物理實驗中一個重要的基本力學實驗,本文測定了不同蔗糖溶液在不同濃度下對表面張力系數的影響。
1、測量原理
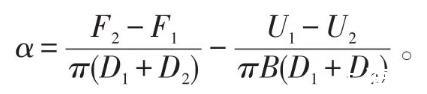
測量表面張力系數的方法有拉脫法、毛細管法、最大氣泡壓力法、光纖干涉法、激光衍射法等,本實驗中采用拉脫法。實驗儀器為FD-NST-1表面張力系數測定儀,其拉力與輸出電壓關系為F=U/B,B為傳感器靈敏度。
一個金屬環其內、外徑分別為D1和D2,將其固定在硅壓阻力敏傳感器上,并垂直浸沒于液體中,通過旋轉螺絲升降平臺,降低平臺時,圓環被漸漸拉起,金屬環和液面之間拉起環形液膜,忽略被拉起的液膜重力,此時拉力為
F1=m0g+fcosθ,
其中,m0為吊環質量,f為液體表面張力。f=π(D1+D2)α,α為表面張力系數,θ為表面張力與豎直方向的夾角,稱為濕潤角。
當液膜即將被拉脫時,θ≈0傳感器受到的拉力為
F1=m0g+f,
液膜被拉脫后拉力為
F2=m0g,
故表面張力系數為
2、數據測量和處理
2.1硅壓力敏傳感器定標
為了減小人為誤差,對于力敏傳感器的靈敏度的測量采用先依次增加砝碼片個數,測出相應電壓用U+表示,再依次減小砝碼片個數,測出相應電壓用U-表示,然后再將電壓取平均值。測量數據如下,太原地區的重力加速度為9.7970 m/s2。由圖1得傳感器的靈敏度為B=2.6792 V/N,線性相關系數R2=0.9999。
2.2不同蔗糖溶液的表面張力系數測定
本實驗所用吊環外徑D1=3.496 cm,內徑D2=3.310 cm,調節上升架,記錄環在即將拉斷液體時數字電壓表的讀數為U1,拉斷時數字電壓表的讀數為U2。實驗所選樣品為白糖和紅糖,這兩種蔗糖由于提取的工藝不同而呈現不同的顏色,但都屬于蔗糖類,實驗中分別配置了從1%~8%的濃度的白糖溶液和紅糖溶液,在20℃下分別測量其不同濃度下的表面張力系數,測量數據如表2和表3,做表面張力系數隨濃度變化的圖如圖2,3。
由測量數據及圖像可看出,與純水的表面張力系數(72.75×10-3N/m)相比,當加了蔗糖后,其表面張力系數均有所降低。在同一濃度下,白糖溶液的表面張力系數大于紅糖溶液的表面張力系數;對于白糖溶液,隨著濃度的增加,表面張力系數先快速減小,在4%的濃度時表面張力系數達到最小,之后又有小幅增加;對于紅糖溶液,其表面張力系數要低于白糖溶液,隨著濃度的增加,表面張力系數減小,只是在濃度較小時減小的快,濃度較大時減小的慢。
表2白糖溶液的表面張力系數
圖2白糖溶液的表面張力系數
出現這種現象的原因與兩種蔗糖的成分有關,紅糖是將甘蔗切碎碾壓成汁液去除泥土、細菌、纖維等雜質,慢火熬制而成,其主要成分蔗糖、維生素、微量元素及氨基酸等,白糖是紅糖經洗滌、離心、分蜜、脫光等幾道工序制成的,其主要成分是碳水化合物和鈣,由于兩種糖類的成分不同,使得他們的表面張力系數不同。
表3紅糖溶液的表面張力系數
圖3紅糖溶液的表面張力系數
3、結論
不同種類的雜質的表面張力系數是不同的,摻入同類雜質如蔗糖,由于不同的制作工藝,得到不同的蔗糖如紅糖和白糖,其成分有差別,這樣的差別也會導致不同的蔗糖溶液的表面張力系數不同,蔗糖溶液的表面張力系數比純水的表面張力系數小,同一濃度下,白糖溶液的表面張力系數大于紅糖溶液的表面張力系數,而且隨著濃度的增加,兩種溶液的表面張力系數的變化趨勢也不盡同。





