合作客戶/
拜耳公司 |
同濟大學 |
聯合大學 |
美國保潔 |
美國強生 |
瑞士羅氏 |
相關新聞Info
-
> 無堿的陰離子-非離子表面活性劑界面張力測定及驅油效率評價
> KibronLB膜分析儀研究自組裝肽在制造定制螺旋狀納米結構中的應用
> 添加不同量阿維菌素Silwet 408對阿維菌素微乳劑藥液表面張力的影響——摘要、材料與方法
> 界面張力作用下開發MAPbBr3鈣鈦礦單晶制備方法
> 誘導期測定法研究NaCl的添加對碳酸鋰固-液界面張力等成核動力學參數影響——結果與討論
> 不同質量分數的EMI溶液的表面張力測定【實驗下】
> 篩選常用、經濟且可抑制低階煤煤塵的表面活性劑(三)
> ?表面張力大容易潤濕嗎,表面張力的影響因素有哪些
> 氣體富集、雜質對固-液界面納米氣泡接觸角的影響——結果與討論、結論
> 新型POSS基雜化泡沫穩定劑表面張力測定及對泡沫壓縮性能的影響(一)
推薦新聞Info
-
> 耐擦刮無膠消光膜制備方法、高表面張力與收解卷順暢性的平衡(二)
> 耐擦刮無膠消光膜制備方法、高表面張力與收解卷順暢性的平衡(一)
> 利用超微量天平制備微孔淀粉處理含Cu(II)離子染料廢水
> 不同類型的堿、pH值對孤東油田原油界面張力的影響(下)
> 不同類型的堿、pH值對孤東油田原油界面張力的影響(上)
> 不同結晶結構的脂肪晶體顆粒界面自組裝行為、儲藏穩定性研究
> 新型POSS基雜化泡沫穩定劑表面張力測定及對泡沫壓縮性能的影響(三)
> 新型POSS基雜化泡沫穩定劑表面張力測定及對泡沫壓縮性能的影響(二)
> 新型POSS基雜化泡沫穩定劑表面張力測定及對泡沫壓縮性能的影響(一)
> 多功能膜材研發:界面張力已成為整套工藝鏈協同下動態演化的核心控制點
熱毛細效應引起的表面張力梯度導致傾斜壁面上液膜干斑的出現(三)
來源:化工進展 瀏覽 356 次 發布時間:2025-06-05
3.2絕熱條件下的液膜流動
圖6給出了不同工質在入口溫度為20℃時,傾斜角度和噴淋密度對液膜厚度變化的影響。實驗時,先調節齒輪泵增大噴淋密度,當液膜能夠完全潤濕壁面時,再減小噴淋密度,在絕熱條件下噴淋密度達到一定值時,不會隨著時間變化出現液膜破裂現象。如圖6(a)所示,在實驗測量中乙二醇和丙二醇都能夠在極低的噴淋密度0.002kg/(m·s)下,完全鋪展在壁面上。這是因為兩種工質的黏度相比去離子水大很多,高黏度的工質具有優秀的附著性能,能夠讓液膜在壁面更好鋪展,有效防止了因流體剪切力而引起的局部破裂現象。但這兩種工質隨著噴淋密度的增加,液體將會溢出第三個擋板,不再從1mm縫隙中流出,因此兩種工質最終測量噴淋密度分別為0.03kg/(m·s)、0.04kg/(m·s)。當流體的黏性增大時,流體分子的黏滯力也將會增強,細縫將進一步限制流體的運動,大大增加流體阻力,從而使液體溢出布液器的擋板。
圖6噴淋密度和傾斜角度對液膜厚度影響
圖6(a)、(b)顯示了液膜厚度在不同噴淋密度和傾斜角度條件下的變化趨勢,其中Ⅰ區對應液膜厚度的快速變化階段,Ⅱ區則為平緩變化階段。在圖6(a)中,乙二醇和丙二醇在Ⅰ區的液膜厚度增長速率顯著高于去離子水,其中丙二醇增長最快,原因在于高黏度流體分子之間較強的吸引力使得噴淋密度增加時流動阻力顯著增強,從而導致液膜厚度快速增加;而在Ⅱ區,液膜厚度增長趨于平緩,表明噴淋密度對液膜的影響逐漸減弱。圖6(b)顯示,隨著傾斜角度的增大,液膜厚度在Ⅰ區下降速率顯著高于Ⅱ區,3種工質均表現出液膜厚度隨傾斜角度增大而減小的趨勢。這是因為傾斜角度增加時,流體在壁面上的重力分量增加,液膜的流動變得更為均勻,從而降低了液膜厚度下降的速率。這些結果表明,黏度和傾斜角度在快速變化階段(Ⅰ區)起關鍵作用。
臨界噴淋密度是能夠保證壁面被連續液膜覆蓋所需的最低流量,當噴淋密度低于臨界值時,流動液膜將發生破裂。在實驗中,乙二醇和丙二醇由于其動力黏度遠高于去離子水(如乙二醇動力黏度約為20.1mPa·s,丙二醇動力黏度約為58mPa·s,而去離子水動力黏度僅約為1mPa·s),在壁面上表現出更強的潤濕性和抗擾動能力,即使在極低的噴淋密度下仍能形成穩定的液膜。這使其臨界噴淋密度趨近于零,液膜破裂點難以捕捉。此外,高黏度液體在低流量條件下的精確控制也較難實現,進一步增加了實驗的復雜性。因此,實驗中選用動力黏度較低的去離子水進行測量,更容易誘發液膜破裂并明確界定臨界噴淋密度的變化規律。實驗采用調節閥門控制流量,逐漸減小噴淋密度,觀察液膜是否完整鋪展于壁面。當液膜破裂時,記錄噴淋密度的最小值,重復10次測量后取算術平均值作為平均臨界噴淋密度。
從圖7中可以看出,在較低的傾斜角度(如10°~25°)下,液膜受重力在壁面平行方向分量的影響較小,主要依靠噴淋液體的動能和潤濕性來維持覆蓋。此時,液膜較厚,表面張力對毛細波動的抑制作用較強,能夠有效抵御擾動,流動較為穩定,因此臨界噴淋密度較低。然而,在較高的傾斜角度(如30°~45°)下,重力在流動方向的分量顯著增強,液膜受到更大的重力驅動力作用,易發生滑移和局部脫離壁面現象。同時,傾斜角度增大會使液膜變薄,液膜內剪切力增大,進一步放大表面張力波動對擾動的響應,從而導致液膜對擾動的敏感性提高,流動不穩定性顯著增強。此外,局部區域的液膜破裂會導致液膜整體失穩,最終在兩側形成穩定細流。因此,為了維持液膜的完整性和連續性,需要提高噴淋密度以抵消重力和表面張力波動的破壞作用,從而導致臨界噴淋密度在高傾斜角度下顯著升高。
圖7不同傾斜角度下臨界噴淋密度
3.3加熱條件下的液膜流動
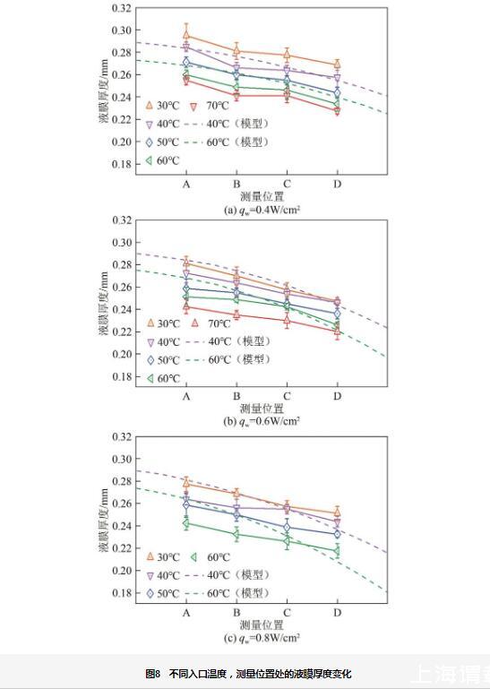
在加熱條件下,由于液體入口溫度不斷提升以及流經正在加熱壁面上,液膜將會產生水蒸氣冷凝在探針頭部,從而影響通過攝像機觀測液膜氣液界面的判斷。本實驗中,在探針底部粘貼一塊直徑為9mm的陶瓷加熱片,在加熱傾斜壁面的同時也加熱探針,避免水蒸氣凝結在探針頭部影響對液膜厚度的測量。為了觀測到傾斜加熱壁面上液膜出現干斑現象,減小去離子水的噴淋密度,但仍然確保液膜能夠完全鋪展在壁面上。圖8展示了在壁面傾斜角度為15°、噴淋密度為0.016kg/(m·s)的條件下,不同熱流密度和入口溫度對各測量位置液膜厚度變化的影響,并與模型計算值進行了對比。當入口溫度為70℃、熱流密度qw=0.8W/cm2時,液膜厚度變化消失,由于加熱壁面出現了干斑。
圖8不同入口溫度,測量位置處的液膜厚度變化
如圖8所示,模型計算的初始值存在差異,這是因為溫度升高時,液體黏度減小,導致初始值下降。此外,隨著熱流密度的增大,模型計算值會顯著降低。模型計算值與實驗結果之間表現出較好的吻合性,進一步表明該模型在預測液膜厚度變化方面具有較高的可靠性。從整體來看,液膜厚度隨著加熱壁面長度方向L的增加以及入口溫度的升高而逐漸減小。這一現象源于液膜在加熱壁面上流動過程中,表面發生蒸發。隨著壁面長度方向距離的增加,液膜的蒸發時間延長,導致液膜逐漸變薄。液膜蒸發過程主要受到蒸發和熱毛細耦合作用影響,液膜與加熱壁面之間的溫差是驅動熱毛細效應的關鍵,而表面蒸發速率則與蒸氣壓差密切相關。在此過程中,液膜的表面溫度逐漸升高,形成了一個溫度梯度,從而加劇了蒸發效應。此外,入口溫度對去離子水物性有顯著影響,特別是對黏度的變化尤為關鍵。隨著溫度升高,液體的黏度降低,導致液膜流動性增強,使得液膜更易于薄化。這種變化使液膜在加熱壁面上的蒸發時間縮短,并且更容易接近飽和蒸汽狀態,顯著提升了蒸發速率。隨著蒸發速率的增加,液膜厚度進一步減小,同時液膜表面溫度逐步逼近臨界蒸發溫度,推動了表面層的快速蒸發。更為重要的是,入口溫度的提升還使得液膜表面更加接近飽和蒸汽狀態,造成了較大的蒸氣壓差。這種壓差進一步促進了蒸發速率的增加,從而加劇了膜厚度的減薄趨勢。這一現象表明,熱流密度和入口溫度等因素通過影響熱毛細效應和蒸發速率,共同作用于液膜的演化。
圖9展示了液膜在加熱壁面上的流動過程,并解釋了液膜破裂形成干斑區域的機制。液膜的破裂通常是多種物理機制共同作用的結果,包括重力、熱毛細效應、蒸發以及氣液界面上的剪切力等。圖9(a)中顯示的流動情況表明,在這些因素的作用下,液膜會在加熱壁面上發生破裂,形成局部干斑。類似的問題也曾在Hartley和Murgatroyd[19]對等溫液膜分析中提出過,他們通過滯止點處的力平衡推導出了保持未加熱壁面完全濕潤所需的最小液膜厚度和最小流量,但他們的研究未考慮熱效應對干斑形成穩定性的影響。
圖9液膜在加熱壁面上的流動過程及不同傾角下干斑面積比
然而,考慮到熱效應在流過加熱表面的液膜中的重要性,熱毛細效應[圖9(b)]在液膜流動和穩定性中發揮了至關重要的作用。當液膜流經加熱表面時,熱效應引起液膜內表面張力的變化,會形成一定的表面張力梯度。這個表面張力梯度通過熱毛細效應驅動液體向較低表面張力的區域流動,這一現象會顯著影響液膜的穩定性。尤其在高溫條件下,表面張力的不均勻分布可能導致液膜的破裂。此外,隨著液膜厚度的減小,蒸發效應逐漸增強,當液膜厚度達到臨界值時,液膜會發生破裂。同時,重力作用使液膜在流動過程中向下滑移,特別是在較大傾斜角度時,重力分量加劇了液膜的不穩定性,容易導致液膜局部脫離壁面。氣液界面上的剪切力隨著傾斜角度增大、液膜流速加快而增強,進一步促進了液膜表面波動,尤其在液膜變薄時,氣液界面剪切力的作用更加顯著,可能導致液膜表面出現不穩定性,最終引發液膜破裂。上述這些機制共同作用,最終導致液膜表面形成局部干斑區域。
在壁面傾斜角度分別為15°、30°和45°,以及噴淋密度為0.016kg/(m·s)、0.03kg/(m·s)和0.04kg/(m·s)條件下,采用熱流密度qw=0.8W/cm2的加熱片對壁面進行均勻加熱之后,出現燒干現象。使用尼康D90相機(分辨率為1280×720,幀率為24幀/s)平行于壁面,記錄了燒干現象的變化過程,通過Pr軟件將視頻逐幀提取并保存為TIF格式圖像后,再使用ImageJ軟件對圖像進行處理,計算干斑面積與整個壁面面積的比例。
在3個不同傾斜角度下,均表現為液膜在局部區域發生破裂,隨著時間的推移,干斑逐漸擴展,最終形成一個穩定的干斑區域。這是因為在加熱表面,熱毛細效應導致表面張力梯度,使液體從低表面張力區域流向高表面張力區域,導致液膜局部不穩定并破裂。同時,蒸發效應使液膜厚度減小,尤其在液膜薄弱區域,加劇了破裂過程。在熱毛細效應和蒸發效應的共同作用下,干斑逐漸擴大并穩定下來。隨著傾斜角度增大,干斑區域變大,并且形成穩定干斑時間縮短。這是因為在較大傾斜角度下,重力分量增大,導致液膜更容易在局部區域發生流動不穩定,使液膜破裂加速。因此,傾斜角度的增大不僅增加了液膜的不穩定性,也加快了干斑的形成過程。
在圖9(c)、(d)中,滯止點的出現是因為液膜在流動過程中受到熱毛細效應、重力和蒸發效應的共同作用,導致液膜流動逐漸減緩,最終形成滯止點。在圖9(d)中,隨著傾斜角度的增大,重力的作用加劇了液膜的不穩定性,使滯止點位置上移。而在圖9(e)中,液膜沒有形成滯止點,而是直接發生完全破裂。這是因為在更大的傾斜角度下,液膜流動的不穩定性顯著增強,液膜快速變薄并在局部區域破裂,加速了液膜的破裂過程,導致液膜沒有逐漸減緩流動,而是直接破裂,無法形成滯止點。在干斑邊緣形成穩定的細流,防止了干斑區域的進一步擴展。
4結論
本實驗研究了不同物性和傾斜角度下液膜在傾斜壁面上的厚度特性及流動不穩定性,并建立了一個可行的三維數學模型,預測了傾斜壁面上液膜由蒸發和熱毛細效應引起的燒干現象。通過與實驗結果進行比較,得出了以下主要結論。
(1)在絕熱條件下,研究了3種工質的動力黏度以及不同傾斜角度對液膜厚度的影響,并劃分了快速變化階段與平緩變化階段。同時,探討了去離子水的臨界噴淋密度與流動不穩定性之間的關系。
(2)在加熱條件下,研究了不同傾斜角度和噴淋密度下液膜厚度的變化,并解釋了液膜破裂形成干斑區域的機制。該機制是重力、熱毛細效應和蒸發等物理因素共同作用的結果。
(3)通過數學模型計算并與實驗結果進行比較,發現干斑通常出現在壁面底部;在液膜厚度對比中,模型引入蒸發效應,使得計算結果更接近實際情況。
符號說明
C0 積分常數
dx x方向微元質量增量
dz z方向微元質量增量
g 重力加速度,m/s2
H 量綱為1液膜厚度
H 0—— 初始時刻量綱為1液膜厚度
h 液膜厚度,mm
hi 平均液膜厚度,mm
h0 長度變量
Js 蒸發質量通量,kg/(m·s2)
k 熱導率,W/(m·K)
L 壁面長度,mm
mx x方向微元質量
mz z方向微元質量
Pa 空氣中水蒸氣的分壓,kPa
Pw 飽和蒸氣壓,kPa
qw 壁面熱流密度,W/cm2
Re 雷諾數
T 溫度,℃
T1 壁面溫度,℃
T2 液膜表面溫度,℃
t 量綱為1蒸發時間
U 量綱為1蒸發速率
u 蒸發速率,m3/(m2·s)
vx、vz x方向、z方向液膜速度
x方向、z方向液膜平均速度
W 量綱為1壁面長度
X 量綱為1壁面長度
x x方向壁面長度
Z 量綱為1壁面寬度
z z方向壁面寬度
α 壁面傾斜角度
Γ 噴淋密度,kg/(m·s)
γ 表面張力溫度系數
δ 不確定度
θ 液膜與壁面的接觸角
μ 動力黏度,mPa·s
誤差
ρ 密度,kg/m3
τ 時間,s
τ0 氣液界面剪切應力,mN/m2
τσ 表面張力,mN/m
φ 相對濕度
下角標
0 常數
a 空氣
I 電流,A
i 測量次數
P 功率,W
s 液體表面
T 熱電偶不確定度
U 電壓,V
w 壁面





